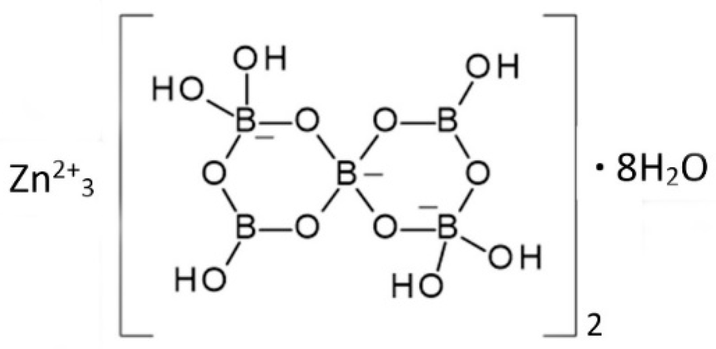
Chemical Formula Zinc Borate
Zinc borate is one of the most important properties of zinc borate because it has low water solubility and high dehydration temperature. Product name ZINC BORATE Chemical Name zinc borate Synonyms BH3O332Zn.

Flame Retardant Zinc Borate Cas No 1332 07 6 Buy Zinc Borate Zinc Borate Price Flame Retardant Chemical Product On Alibaba Com
The most commonly used variety of zinc borate is 35 water zinc also known as ZB-2335 flame retardant.

Chemical formula zinc borate. Indicates that no RQ is assigned to this generic or broad class although the class is a CERCLA hazardous substance. Boric acid zinc salt. B 2 O 3 ratio of 4.
Hydrogenated zinc borate 4ZnOB 2 O 3 H 2 O and anhydrous zinc borate 4ZnOB 2 O 3 are particularly useful as fire retardants and softening inhibitors for polymer compositions. Commercially used zinc borate which has the formula of 2ZnO3B2 O37H2 O has a particle size between 10 and 20 m. The present invention relates to zinc borate having a ZnO.
Its chemical formula is xZnOyB2O3zH2O. Available as a hydrate or dehydrated form as white powder or colorless crystals. B 2 O 6 Zn 3.
14062016 Zinc borate has a specific gravity of 277 and is considered to be low toxicity. Convert grams Zinc Borate to moles or moles Zinc Borate to grams. It is a white non-damp viscous and powdery substance.
01032020 The zinc borate nanowhiskers have the monoclinic crystal structure with diameters of 50100 nm lengths of about 1 m and the aspect ratios close to 1020. Slightly soluble in water. Zinc Borate molecular weight.
It is a chemical substance used as a smoke suppressor and contains boron within it. Zinc borate B2O6Zn3 CID 167155 - structure chemical names physical and chemical properties classification patents literature biological activities safetyhazardstoxicity information supplier lists. Zinc borate is a boron-containing chemical material that is used to increase the flame retardancy of polymeric materials dyes cables fabrics carpets and the internal parts of automobiles and planes.
TCCs zinc borate is primarily used as a flame retardant in plastics and cellulose fibers paper rubbers and textiles. Indicates that although not listed by name and CAS number this chemical is reportable under one or more of the EPCRA section 313 chemical categories. Boric acid zinc salt.
Molar mass of Zn3BO32 3137584 gmol. Cido brico sal de cinc Spanish. Soluble in dilute acids.
Zinc Borate is a Boron based flame retardant compatible with many polymeric matrices. 2ZnO3B 2 O 335H 2 O. White or light yellow powder.
Inorganic compound a borate of zinc. However recent studies have. Nano sized zinc borate powder with a chemical formula of 4ZnOB 2 O 3 H 2 O was synthesized by a wet chemical method using 2ZnO3B 2 O 3 3035H 2 O as starting.
65383 10811 15999432 Percent composition by element. Storage in a low temperature and dry storeroom away from fire and heat. Acide borique sel de zinc French.
Inorganic compound a borate of barium with a chemical formula BaB2O4 or Ba2.
Cas 138265 88 0 Zinc Borate Flame Retardant Chemical For Plastic Rubber Coating

China Zinc Borate Manufacturers Suppliers Factory Best Price Senlos

Rubamin Fire Safe Zinc Borate Powder Chemical Formula Zno 3 B2o3 Rs 160 Kilogram Id 21044908548

China Zinc Borate 3 5h2o Manufacturers Suppliers Factory Best Price Senlos

Molecules Free Full Text Hydrated Zinc Borates And Their Industrial Use Html

Preparation Of Zinc Borates With Different Structures And Morphologies And Their Effect On Thermal And Oxidative Stability Of Polyvinyl Alcohol Sciencedirect


Post a Comment for "Chemical Formula Zinc Borate"