The atomic arrangement of ethanol ethyl alcohol is given below. 25032020 The chemical reaction equation for the combustion of octane C8H18 which is one of the primary components of gasoline is 2C8H18 25O2.

Fuels Of The Diesel Gasoline Engines And Their Properties Intechopen
Gasoline is a complex mixture of over 500 hydrocarbons that may have between 5 to 12 carbons.

Chemical formula for the gasoline. Most of these compounds have between 4-12 carbon atoms per molecules. The typical composition of gasoline hydrocarbons volume is as follows. Gasoline contains between 30 and 50 percent heptane and isooctane which feature seven and eight carbon atoms respectively.
CH 3 CH 2 CH 2 CH 2 CH 2 CH 3. 2 See answers LiquidMiracle605 is waiting for your help. Smaller amounts of alkane cyclic and aromatic compounds are present.
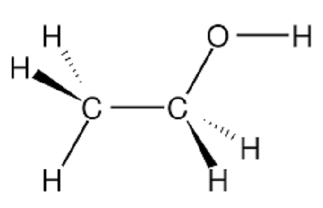
Haps Haps Octane Octane is a straight chain alkane composed of 8 carbon atoms. The chemical formula of ethanol is C 2 H 5 OH. Gasoline is most often produced by the fractional distillation of crude oil.
Gasoline is a complex mixture of molecules with a boiling range of 40200C 104392F. T-butyl alcohol CH 3 3 COH. CH 3 CH 2 CH 2 CH 2 CH 2 CH 2 CH 3.
Typically gasoline consists of hydrocarbons which is a chain of hydrogen atoms and between 4 and 12 carbon atoms per molecule represented as C4 - C12. Insufficient air rich and excess air lean and the stoichiometric mass of air is related to the carbonhydrogen ratio of the fuel. 25012020 Petrol Gasoline is separated from crude oil by fractional distillation unit operation.
28032020 Gasoline a refined product of crude oil does not have a single chemical formula as it is a mixture of over 500 hydrocarbons and other compounds. Well there is no specific formula of petrol gasoline itself. Gasoline is a mixture of paraffins alkanes cycloalkanes naphthenes and olefins alkenes.
Mass or volume of air. If playback doesnt begin shortly try restarting your device. Nitromethane has a lower specific energy which indicates that nitromethane generates about 23 times the power of gasoline when combined with oxygen.
Additives and blending agents are added to the hydrocarbon. To produce various grades there is a blending of many refinery components each of which promotes specific fuel qualities such as desired octane rating volatility and minimization of engine deposits. These hydrocarbons typically have five to 12 carbon atoms per chain.
Ethanol is ethyl alcohol that can be used as a fuel for the production of energy. Most of these compounds have between 4-12 carbon atoms per molecules. Gasoline is mixture of different alkanes alkenes and cycloalkanes compounds.
In the combustion reaction gasoline aka octane C8H18 combines with atmospheric oxygen O2 to produce carbon dioxide CO2 and water H20. The mass or volume of air required to provide sufficient oxygen to achieve this complete combustion is the stoichiometric. As the reaction equation illustrates carbon dioxide gas is produced when octane is burned.
C8H18 O2 -. 22112018 Nitromethane is a chemical found in gasoline to produce internal combustion engines also in radio control control line and free flight model aircraft. It has a role as a xenobiotic.
ΔU q w. And 20-50 total aromatics 05-25 benzene IARC 1989. What is the chemical formula for gasoline.
Compound is C 8 H 18. Skeletal structure of o-xylenecdxml. The change in internal energy ΔU is the sum of the energy transferred as heat q for the system and the work done by the system w.
21062021 Condensed Structural Formula Octane Rating Name Condensed Structural Formula Octane Rating. This is typical of combustion reactions involving hydrocarbons such as octane and propane. ChEBI N-octane is a colorless liquid with an odor of gasoline.
This equation describes the First Law of Thermodynamics the Energy Conservation. It is mixture of paraffins Alkanes Olefins Alkenes and cycloalkanes naphthenes. Gasolines chemical formula - YouTube.
C 2 H 5 OH Chemical Formula Combustion Crude Oil Ethanol Ethyl Alcohol Fuel Gasoline What is Ethanol. CH 3 CH 2 CH 2 CH 2 CH 3. CO2 H20 1 This is the same combustion reaction that occurs in our bodies to generate energy from food.
Add your answer and earn points. Isooctane CH 3. 10042001 So to sum up gasoline is a complicated mixture of hydrocarbons boiling between 120 and 400 degrees F with chemical formulas between C 6 H 14 and C 12 H 26 but a good average.
04041999 C O2 CO2 H O2 H2O. Virtually no alkenes or alkynes are present in gasoline. CH 3 CH 2 OH.
Hydrocarbons atoms from 4 to 12 carbon atoms per molecule called C4-C12.
Difference Between Ethanol And Gasoline Chemical Structure Composition Properties Source

Octane Rating And Lead Explaining The Chemistry Of Gasoline American Council On Science And Health

Chemical Symbols And Formulas 2 7 Chemical Symbols A Chemical Symbol Is An Abbreviation Of A Name Of An Element Capital Letter If Only One Letter Only Ppt Download

Chemical Composition Of Soy Methyl Ester Fraction Formula And Cetane Download Table

Fuels Of The Diesel Gasoline Engines And Their Properties Intechopen

Property Of Ethanol Molecular Formula C2h50h Ppt Video Online Download

Chemical And Physical Properties Of Ethanol And Gasoline Download Table

Octane Rating And Lead Explaining The Chemistry Of Gasoline American Council On Science And Health

Natural Gas Chemical Composition Download Table
0 comments:
Post a Comment